En

咨询热线: 137-7609-3768

新闻中心
新闻中心
苏州U乐国际激光科技有限公司

大家都在搜: 激光切割机激光打标机玻璃激光切割机

首页 > 新闻中心 > 行业新闻

【探讨】提高激光打标效率的几种方法

发布人:发布时间:2019-09-19

【摘要】:

对于固定的标刻图形,影响打标效率的因素可以分为设备本身和加工材料。从这两大因素,可以细分到不同的方面:

影响打标效率的因素

对于固定的标刻图形,影响打标效率的因素可以分为设备本身和加工材料。从这两大因素,可以细分到不同的方面:


【探讨】提高激光打标效率的几种方法


因此最终影响打标效率的有填充类型、场镜(填充线间距)、振镜(扫描速度)、延时、激光器、加工材料等因素。


二、提高打标效率的措施

1、选择合适的填充类型


弓形填充:打标效率最高,有时会出现衔接线、不均匀问题。打标细的的图形、字体时,不会出现上述问题,所以弓形填充为首选。

双向填充:打标效率次之,效果好。

单向填充:打标效率最慢,实际加工中很少使用。

回形填充:只有打标细的图形、字体时才会使用,效率与弓形填充差不多。

备注:在不要求细节效果的情况下,使用弓形填充可以提高打标效率。双向填充是能保证效果和效率的最佳选择。


【探讨】提高激光打标效率的几种方法


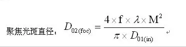
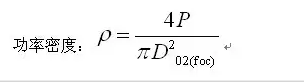
2、选择合适的场镜


场镜焦距越大,聚焦光斑越大;同样光斑重叠率下,可以增大填充线间距,从而提高了打标效率。


【探讨】提高激光打标效率的几种方法


备注:场镜越大,功率密度越小,因此要保证足够打标能量的情况下增大填充线间距。


【探讨】提高激光打标效率的几种方法


3、选择高速的振镜


普通振镜,最高扫描速度只能到达两三千毫米每秒;高速振镜,最高扫描速度可以达到上万毫米每秒,有效的调高了打标效率。另外,使用普通振镜打标细小的图形或字体时,容易出现变形,必须通过降低扫描速度来保证效果。


4、设置合适的延时


不同的填充类型受不同延时的影响,因此减小与该填充类型无关的延时,可以提高打标效率。

弓形填充、回形填充:主要受拐角延时影响,可以减小开光延时、关光延时、结束延时。

双向填充、单向填充:主要受开光延时、关光延时影响,可以减小拐角延时、结束延时。

备注:粗的图形、字体受延时影响小,可以适当减小延时。细的图形、字体受延时影响大,可以适当增大延时。


5、选择正确的激光器


首脉冲可用的激光器,调整好首脉冲高度,开光延时可以为0,对于双向填充、单向填充这些经常开关光的方式,可以有效的提高打标效率。

选择脉冲宽度与脉冲频率独立可调的激光器,既可保证在高扫描速度下,聚焦后光斑能有一定重叠量,又能保证激光能量有足够的峰值功率,达到材料的破坏阈值,使材料气化。


6、加工材料


例如:好的(氧化层厚、氧化均匀、无拉丝处理、喷砂细腻)阳极氧化铝,扫描速度达到两三千毫米每秒时,还可以打出很黑的效果;差的氧化铝,扫描速度只能达到几百毫米每秒。因此,合适的加工材料,可以有效的提高打标效率。


7、其它措施


勾选“平均分布填充线”

对于打标粗的图形、字体,可以去除“使能轮廓”和“饶边走一次”

在效果允许的情况下,可以增大“高级”的“跳转速度”、减小“跳转延时”

激光打标大范围的图形,适当的分成几部分填充,可以有效的减小跳转时间,提高打标效率。


上一篇: 葫芦为什么能卖到3000元以上?葫芦激光打标机

下一篇:激光打标汽车内饰,打造专属您的非凡享受

立即咨询
我们联系您
24小时热线:
137-7609-3768

免费提供行业精准推广方案

U乐国际
    网站地图